通知公告

首页 > 通知公告 > 正文
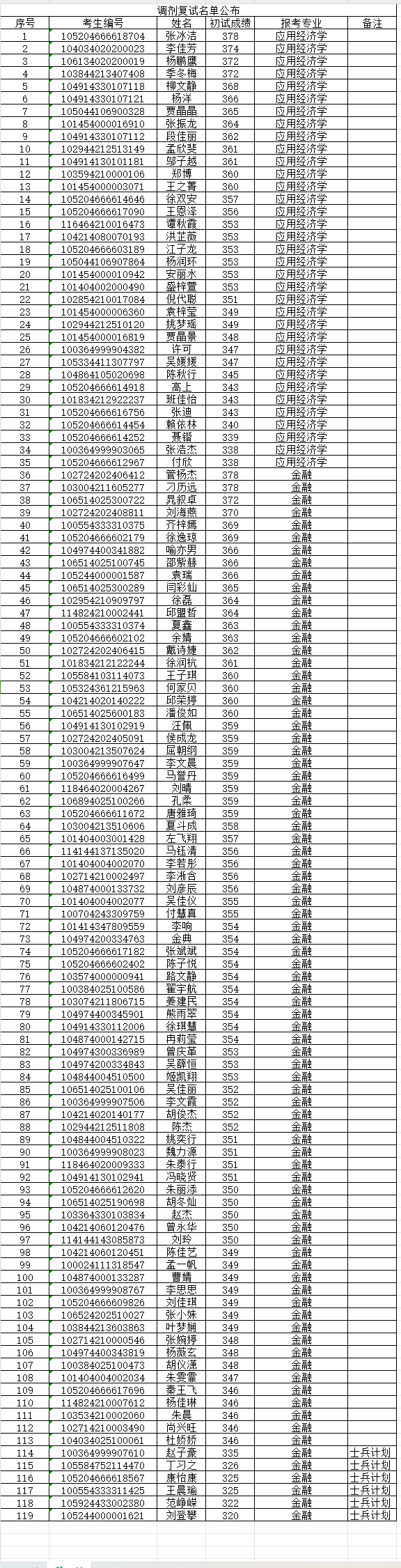
【调剂名单】太阳成tyc9728集团2024 年硕士研究生调剂复试名单
作者:太阳成tyc9728集团  编辑:张琴   发布时间:2024-04-10  发布来源:太阳成tyc9728集团    浏览次数:


版权所有:Copyright @ 2016 All Rights Reserved. 中国·太阳成集团(tyc9728-官方网站)-SunCityGroup

地址:湖北省武汉市江夏区阳光大道1号 邮编:430200 电话:027-59367570